Ensemble Weather
Weather, especially convective storms, continues to exert a disruptive influence on aviation, both in the terminal area and en-route air traffic flow. For daily planning purposes, aviation users need forecasts with outlook horizons several hours into the future that provide not only details about the likely weather outcome (e.g., information about storm structure, intensity, and organization) and the associated forecast uncertainty, but also how that weather impacts aviation operations. Good weather information that is properly integrated into the decision-making process is fundamental to achieving the benefits that NextGen promises.
Weather predictions are inherently uncertain and this prediction uncertainty increases with increasing forecast time horizon. The numerical weather prediction community is moving toward utilization of ensemble approaches to characterize prediction uncertainty and expressing forecasts in probabilistic terms. Harvesting the information provided by each ensemble member, ensemble forecasts can be translated into operational impact predictions that can be utilized to strategically plan for different responses to anticipated weather outcomes. For example, Steiner et al. (2010) demonstrated that ensemble forecasts of convective storms can be used to convey how much of the potentially available airspace may be lost due to the presence of convective storms. Thus, ensemble-based weather translation approaches can effectively be used for planning and dynamic routing of flights around anticipated weather hazards or setting rates for traffic flows across sectors while accounting for prediction uncertainty.
HIGHLIGHTS
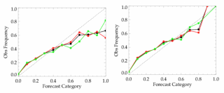
Ensemble forecasts require calibration in order to achieve reliable predictions. NCAR/RAL has been using the Iterative Optimization of Thresholds Algorithm (IOTA) to calibrate probabilistic predictions of reduced air space capacity due to convective storms generated based on the AFWA Mesoscale Ensemble Prediction System (MEPS). This approach yielded a much improved reliability of the higher probability categories (i.e., 50-100%) with minor degradation of the performance at the lower probability categories.
ONGOING RESEARCH
Current work involves route optimization based on deterministic and probabilistic forecasts of multiple aviation hazards including convection, turbulence and icing. Recent work, focusing on using route optimization for convection (depicted as column hazard that must be avoided laterally), has shown that proactive reroutes based on forecast information can limit the need for route adaptation an thus significantly reduce the demand for communication between pilot and air traffic control. Extending the algorithm to multiple en-route hazards will require utilization of vertical avoidance maneuvers and assessment of cost-benefit of said vertical and lateral avoidance routing.
